461330 Оренбургская область, Беляевский район, с. Беляевка, ул. Банковская, 9
20.01.26
Глава тел/факс:

8 (35334) 2-18-15

Бухгалтерия тел/факс

8 (35334) 2-14-46

Меню

Новости

Информация прокуратуры

Единый день оказания юридической помощи

Отключение трансляции пакета каналов РТРС-1

Уважаемые жители муниципального образования

Беляевский сельсовет!

 

Поздравляем Вас с Днем Народного Единства!

Желаем Вам здоровья, счастья, мира и согласия, добра и взаимопонимания.

Просим Вас помочь нашим медицинским работникам,

выполнять все санитарные требования во время пандемии: носить в общественных местах маски и перчатки, соблюдать социальную дистанцию.

 

Глава администрации муниципального образования Беляевский сельсовет Елешев М.Х.

Памятка по профилактике наркомании

Профилактика употребления курительных смесей

Осторожно, спайсы убивают! 

Памятка для обучающихся по профилактике употребления курительных смесей

Медицинские работники, психотерапевты и психологи бьют тревогу: в России отчётливо наблюдается тенденция к увеличению потребления молодежью так называемых курительных смесей.

Курительная смесь или курительный микс – это высушенные и измельчённые растения, средство для ароматизации воздуха в помещениях.

О вреде курительных смесей заговорили давно: большинство их обладает серьёзным психотропным эффектом и длительным токсическим действием. Привыкание к ним развивается гораздо быстрее, чем к тому же героину или марихуане, а «синдром отмены» протекает намного тяжелее. Вещества, содержащиеся в курительных миксах, вызывают галлюцинации и потерю контроля над собой.

В Интернете предлагаются курительные смеси на заказ, продавцы «смертью» уверяют, что это абсолютно безвредно и легально. Распространители курительных смесей создали множество мифов, ориентированных на вовлечение молодежи в процесс наркотизации.  Вот некоторые из них: «Spice» - не наркотик и зависимость от употребления не развивается, «Spice» - это безопасная ароматическая смесь и т.п. Эти мифы  наркоторговцы пытаются донести до вашего сознания различными способами: через объекты розничной торговли, в том числе дистанционным способом, используя столь популярное средство коммуникации как Интернет, «наружную рекламу» (заборы, двери подъездов и др.), а также отдельными физическими лицами в местах массового скопления людей (вокзалы, аэропорты, рынки) и на прилегающих к ним территориях.  При этом  указанная продукция реализуется без каких-либо документов, удостоверяющих их безопасность для жизни и здоровья человека, а также документов - изготовителя, поставщика, подтверждающих их происхождение.

Задумайтесь, будут ли безвредный и сертифицированный товар рекламировать с помощью надписи на грязных заборах, гаражах и т.д., когда весь цивилизованный мир использует для этих целей СМИ. Конечно же нет. Но ведь, чтобы разместить рекламу на ТВ или радио необходимо предоставить сертификаты качества, санитарно-эпидемиологическое заключение, которых как вы понимаете, у наркоторговцев нет.

Последствия употребления курительных смесей

В последнее время медиками изучалась так называемая «безобидность» курительных смесей. Они пришли к выводу, что употребление смесей вызывает: развитие психической и физической

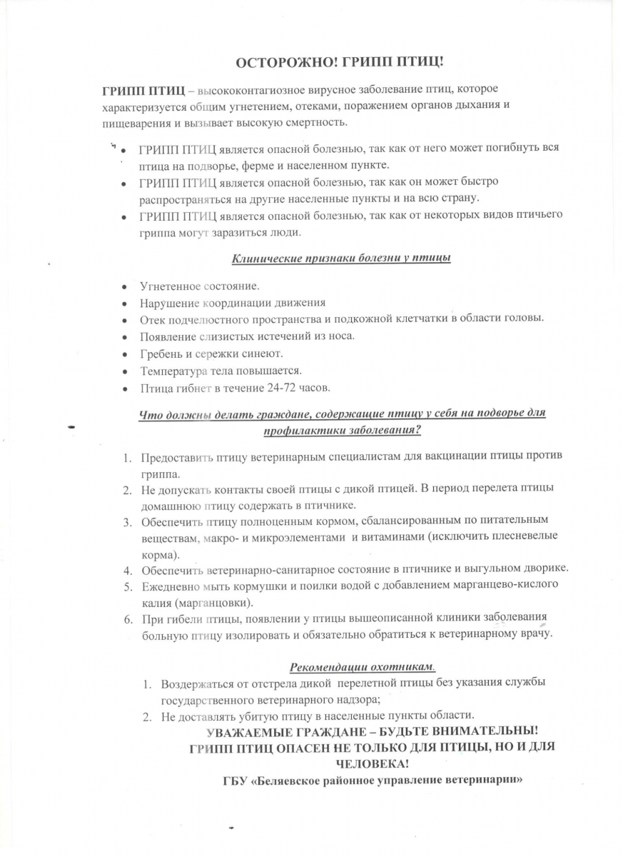
Памятка о профилактике африканской чумы свиней

 

Африканская чума свиней (АЧС) - контагиозная вирусная болезнь, характеризующаяся сверхострым, острым, подострым, реже хроническим течением и высокой летальностью. Болеют домашние и дикие свиньи независимо от возраста и породы. Опасности для жизни и здоровья людей не представляет!

Возбудитель АЧС - вирус, который устойчив к физическому и химическому воздействию, в трупах свиней сохраняется до 10 недель, навозе - до 5 месяцев и более, от 4 до 5 месяцев, в зависимости от сезона года, в почве, до 4 месяцев в замороженном мясе, копченой колбасе.

Источником болезни являются больные свиньи, выделяющие вирус во внешнюю среду с мочой, калом, истечениями из носа и другими секретами и экскретами.

Передача вируса здоровым животным осуществляется через зараженные вирусом корма, подстилку, навоз, трупы и продукты убоя животных (мясо, мясопродукты, кровь), а также зараженными вирусом клещами.

Наиболее часто к появлению АЧС приводит скармливание свиньям непроваренных пищевых отходов домашней кухни, различных пищеблоков и столовых, боенских отходов, а также комбикормов и зернопродуктов, не прошедших термическую обработку.

Между заражением и проявлением клинических признаков может пройти от 2 до 22 суток.

При остром течении болезни - возможна внезапная гибель животных либо в течение 1-3 дней после появления первых признаков болезни: повышенная температура тела (41-42°С), учащенное дыхание и покраснение кожи. Часто супоросные свиноматки абортируют. На различных участках кожи больных животных могут появиться фиолетово-красные пятна, не бледнеющие при надавливании. Наблюдаются кровянистые истечение из носа, понос с примесью крови, признаки пневмонии и отека легких, серозно-геморрагический конъюнктивит, могут развиваться судороги, парезы и параличи конечностей.

Болезнь высоколетальная, распространяется очень быстро и наносит огромный материальный ущерб. Погибают до 100 % заболевших свиней.

Средства лечения и профилактики африканской чумы свиней не разработаны.

Информация для несовершеннолетних и родителей

 

Общероссийский телефон доверия:

8-800-2000-122

 

Телефон «Доверия» на базе ГАУЗ «Оренбургский областной клинический наркологический диспансер»:

8(3532) 57-26-26 (ежедневно с 8:00 до 20:00)

 

Консультирование врача психиатр-нарколога диспансерно-поликлинического отделения для детей и подростков:

8(3532) 36-85-10 (понедельник-пятница с 08:00 до 19:00, суббота с 8:00 до 13:00)

 

Круглосуточный телефон УМВД России по Оренбургской области «Сообщи, где торгуют смертью:

8(3532) 79-02-01

Уважаемые жители муниципального образования
Беляевский сельсовет!
Для предотвращения распространения коронавирусной
инфекции (COVID-19), на территории района просим Вас
воздержаться от поездок в крупные города Оренбургской
области.
Отменить семейные торжества, встречи с родными,
походы в гости. Строго соблюдать гражданами старше 65
лет режим самоизоляции.

Уважаемые жители муниципального образования Беляевский сельсовет!

В соответствии с указом Губернатора Оренбургской области от 28.09.2020 № 456-ук «О внесении изменения в указ Губернатора Оренбургской области от 17.03.2020 № 112-ук»

Обязать:

Лиц 65 лет и старше обеспечить с 29 сентября по 12 октября 2020 года включительно самоизоляцию на дому по месту проживания (месту пребывания) указанных лиц либо в иных помещениях, в том числе жилых и садовых домах, за исключением случаев:

обращения за экстренной (неотложной) медицинской помощью и случаев иной прямой угрозы жизни и здоровью;

следования по возможности к ближайшему месту приобретения товаров, работ, услуг, реализация которых не ограничена в соответствии с настоящим указом;

выгула домашних животных;

выноса бытовых отходов до ближайшего места накопления твердых бытовых отходов.

Действие настоящего подпункта не распространяется на:

руководителей предприятий, организаций, учреждений;

сотрудников предприятий, организаций, учреждений и органов государственной власти и органов местного самоуправления муниципальных образований Оренбургской области, чье нахождение на рабочем месте является критически важным для обеспечения их функционирования;

работников здравоохранения.

 

Всех лиц, проживающих (пребывающих) на территории Оренбургской области:

находиться в помещениях либо на территориях организаций, реализующих товары, оказывающих услуги, в общественном транспорте, в том числе такси, в местах массового скопления людей в средствах индивидуальной защиты (маски, перчатки).

соблюдать социальную дистанцию, в том числе в общественных местах, за исключением случаев оказания услуг по перевозке пассажиров и багажа.

Памятки по Коронавирусу